北京信息港首页 | 资讯  | 京都  | 科技  | 体育  | 娱乐  | 教育  | 房产  | 健康  | 育儿  | 图库  | 专题  |

首页  | 北京  | 国内  | 国际  | 社会  | 红人  | 历史

> 资讯 > 国内 > 正文

2014年山东公布高考分段表出炉 文理共85962名考生考上一本线

2014-06-25 10:33 来源:网络 浏览:
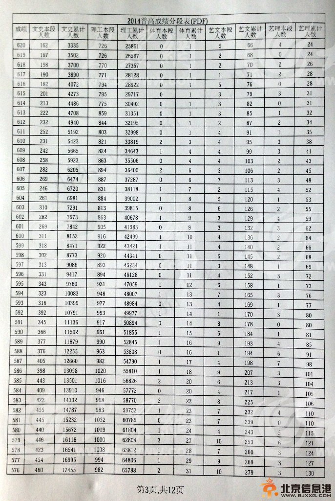
今天,省招考院公布了山东省2014年普通高考成绩段表。据统计,2014年山东高考达到一本线的文史类考生有16118人,理工类考生有69844人。文理一共有85962名考生考上了一本线

  今天,省招考院公布了山东省2014年普通高考成绩段表。据统计,2014年山东高考达到一本线的文史类考生有16118人,理工类考生有69844人。文理一共有85962名考生考上了一本线。

  今年山东省一本线文科为579分,比去年增加了9分。据统计,我省文科最高分为683分,共有11名考生;680分以上共有17人,679至650分有426人,649分至600分有7710人。文科一本线579分以上人数总共有16118人,比去年增加了2542人,其中擦线过的考生人数为446人。

  我省理科一本线分数为572分,比去年增加了18分。今年我省理科710分以上共有33人,700分以上有111人,699分至650分共8388人,649分至600分共34000人。理科一本线572分以上人数共有69844人,比去年增加了7287人,其中有1025名考生“擦分”过线。

  去年我省文科一本线为570分,理科一本线分数为554分。去年在一本分数线以上学生共有76133人,与2012年相比各分段人数均有降低。据招考院分析,原因主要是我省今年将部分本科二批高校重点专业调整到本科一批,计划总量增加较多。加上部分考生反映今年考题较难,因此导致各分段人数均有下降。

  而今年,我省高考成绩在一本线以上的文理考生总数达到了85962人,比去年增加了9829人。据招考专家分析,今年一本线上人数增多的原因在于今年参加高考的人数比去年多,共有558259名考生报名,比去年增加了24914人;同时,今年考试难度也有所降低,考生总体分数上涨。

  此外,今年我省本科军检资格分数线文科554分以上共有28703人,理科547分以上共有95422人。本科军检线上总人数为124125人。

  据了解,往年省招考院公布分段表时,都是5分一个分数段进行公布。从去年开始,分段表则是一分一段进行公布的。有关专家解释,因为从去年开始,我省高考三批次实行平行志愿,公布具体的成绩分段将方便考生志愿选择及填报。

  但考生需注意的是,因为本科一批线是根据本科一批院校按招生计划的1∶1.2划定,因此该线上考生并不能保证全部进入本科一批院校。根据比例推算,预计约有7万名考生可以进入本科一批院校,也就是说,将有约1.4万人“无缘”一本,落入本科二批。

点击浏览下一张

2014年山东公布高考分段表出炉 文理共85962名考生考上一本线

2014年山东公布高考分段表出炉 文理共85962名考生考上一本线

2014年山东公布高考分段表出炉 文理共85962名考生考上一本线

2014年山东公布高考分段表出炉 文理共85962名考生考上一本线

2014年山东公布高考分段表出炉 文理共85962名考生考上一本线

2014年山东公布高考分段表出炉 文理共85962名考生考上一本线

2014年山东公布高考分段表出炉 文理共85962名考生考上一本线

2014年山东公布高考分段表出炉 文理共85962名考生考上一本线

2014年山东公布高考分段表出炉 文理共85962名考生考上一本线

2014年山东公布高考分段表出炉 文理共85962名考生考上一本线

2014年山东公布高考分段表出炉 文理共85962名考生考上一本线



阅读完标题为(2014年山东公布高考分段表出炉 文理共85962名考生考上一本线)的文章后,{www.bjxxg.cn}小编为大家推荐更多相关文章,千万不要错过哦! (责任编辑:北京纪事)